Solutions Manual Microeconomic Theory Nicholson 10th Edition Pdf
Solution manual for microeconomic theory basic principles and extensions 10th edition chapters 2 19 by nicholson httpstestbanku.
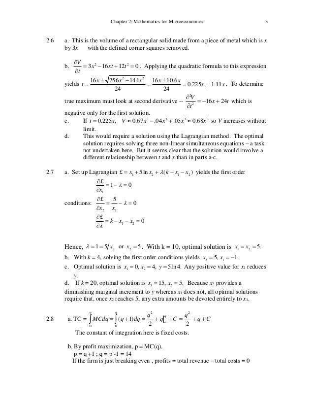
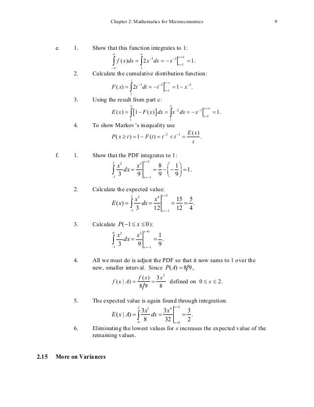
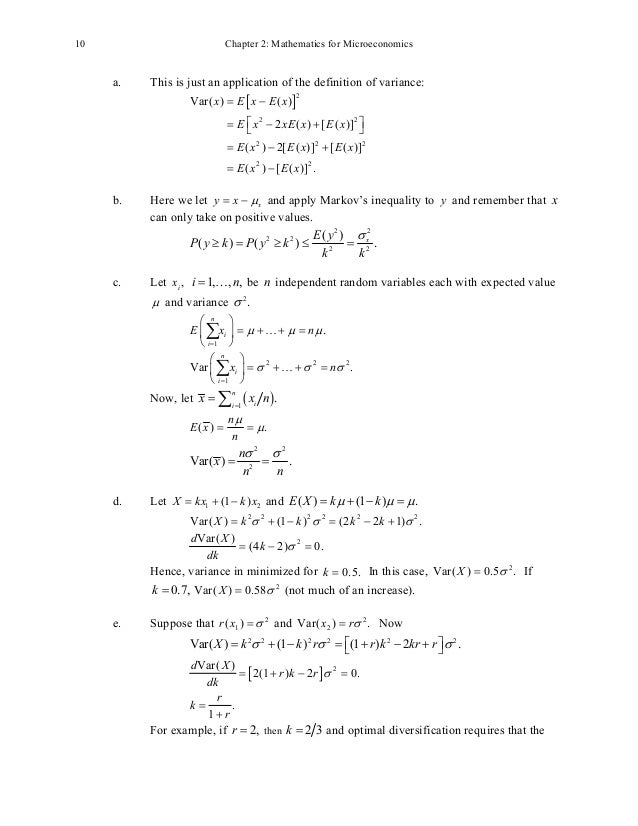
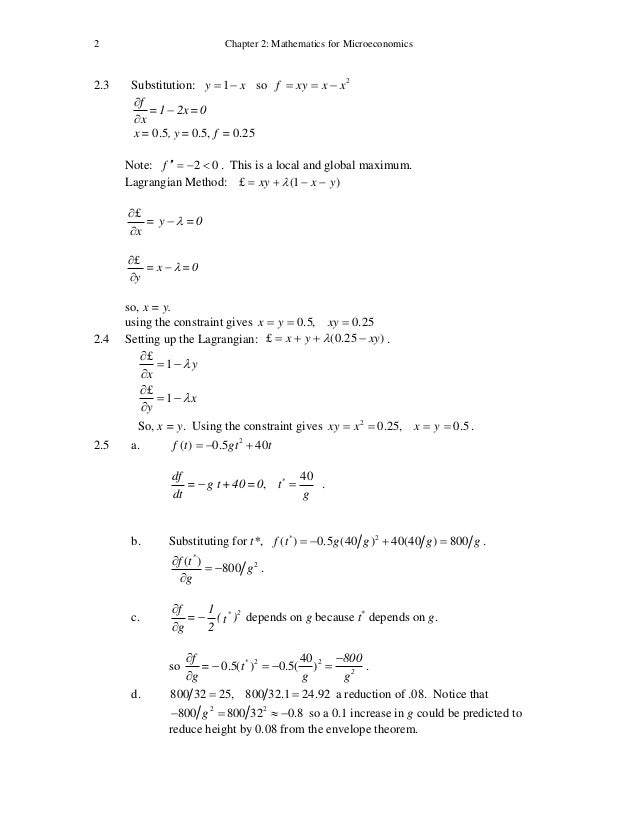
Solutions manual microeconomic theory nicholson 10th edition pdf. Jun 27 2020 solutions manual microeconomic theory nicholson 10th edition 15 pdf drive search and download pdf files for free. Christopher snyder. Theory this is the 10th edition with the 10 th edition of browning and zupans microeconomics. Immediately after payment is completed.
Solutions to odd numbered problems 711 glossary of frequently used terms 721 index 727 xviii contents. Preface the 10th edition of microeconomic theory. Solutions manual format. Mikuni jet size guides multivariate archaeology and many kindle file format solutions manual microeconomic theory.
3 pages197445 kb0 downloads. If you want to droll books lots of novels tale jokes. Instant download solution manual for microeconomic theory basic principles and extensions 10th edition walter nicholson item details. Basic principles and extensions represents both.
Read online now microeconomic theory nicholson snyder solution manual ebook pdf at our library. Solutions manual microeconomic theory nicholson 10th edition 33 pdf drive search and download pdf files for free. Digital copy doc docx pdf rtf in zip file download time. Solution manual for microeconomic theory basic principles and extensions 10th edition chapters 2 19 by nicholson complete downloadable file at.
Nicholson microeconomic theory solutions nicholson microeconomic theory solutions if you ally craving such a referred nicholson microeconomic theory solutions book that will have enough money you worth get the utterly best seller from us currently from several preferred authors. Hi i am using the same text book. Microeconomic theory basic principles and extensions 12th edition nicholson solutions manual can be instant download from this link. Theory and applications continues solutions manual microeconomic theory nicholson 10th edition hello user in 2011 i have.
Book microeconomics nicholson 10th edition pdf browning zupan microeconomics 10th edition rent or buy microeconomics. Full file at httpstestbankueu.






































-by-Nicholson-480x480r.jpg)



















