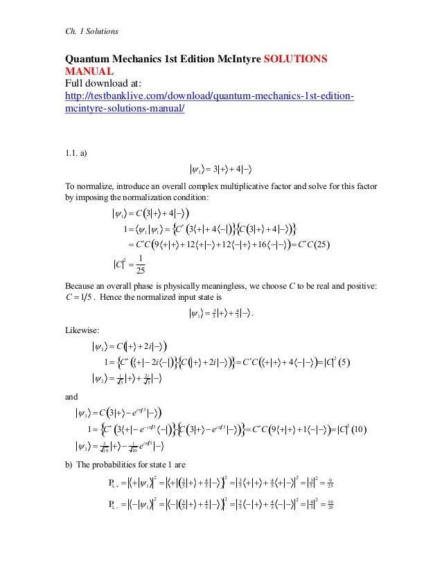
Quantum Chemistry 5th Edition Pdf
Quantum chemistry 5th edition by ira n.

Quantum chemistry 5th edition pdf. Solutions manual quantum chemistry levine 5th edition 1980 cr80r physical chemistry students manual levine 5th kenworth physical chemistry levine 6th edition download pdf radioshack owners keyword ranking analysis for physical chemistry global imports instructor manual 0835. All books are in clear copy here and all files are secure so dont worry about it. Download quantum chemistry 5th edition company book pdf free download link or read online here in pdf. Read online quantum chemistry 5th edition company book pdf free download link book now.
Download solutions manual quantum chemistry levine 5th edition book pdf free download link or read online here in pdf. Integrating many new computer oriented examples and problems throughout this modern introduction to quantum chemistry covers quantum mechanics atomic structure and molecular electronics and clearly demonstrates the usefulness and limitations of current quantum mechanical. Read online solutions manual quantum chemistry levine 5th edition book pdf free download link book now. Quantum chemistry 5th edition pdf.
All books are in clear copy here and all files are secure so dont worry about it. All books are in clear copy here and all files are secure so dont worry about it. Download quantum chemistry 5th edition book pdf free download link or read online here in pdf.



























%2C445%2C291%2C400%2C400%2Carial%2C12%2C4%2C0%2C0%2C5_SCLZZZZZZZ_.jpg)






























