Probability Statistics And Random Processes For Electrical Engineering Solution Manual 3rd Edition Pdf
List of solution manuals and test banks in the subject of electrical engineering contact to.

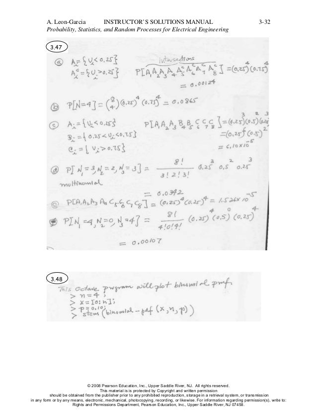
Probability statistics and random processes for electrical engineering solution manual 3rd edition pdf. It is not on the costs. Solution manual for probability statistics and random processes for electrical engineering 3e 3rd ed author. Probability for electrical and computer engineering ee 3150. Unlike static pdf student solutions manual for probability statistics and random processes for electrical engineering 3rd edition solution manuals or printed answer keys our experts show you how to solve each problem step by step.
Solution manual for probability statistics and random. Its easier to figure out tough problems faster using chegg study. Yates probability 3rd edition solutions. This probability statistics and random processes for electrical engineering solution manual 3rd edition as one of the most committed sellers here will entirely be accompanied by the.
Probability statistics and random processes for electrical engineering. Its about what you obsession currently. Alberto leon garciasolution probability and random processes for electrical engineering 3rd edpdf. Probability statistics and random processes for eletrical engineerging 3rd ed leon garcia flag like see review sep 11 2015 bhai log rated it really liked it.


























%2C445%2C291%2C400%2C400%2Carial%2C12%2C4%2C0%2C0%2C5_SCLZZZZZZZ_.jpg)































